Lo único que pedimos a las personas usuarias es un compromiso básico con la mejora del servicio: comunicar cualquier error que pueda detectarse durante su uso. Si en algún momento encuentras un fallo gramatical, ortográfico, de contenido o de contexto y deseas ayudarnos a corregirlo, puedes hacerlo de forma sencilla a través de Telegram o enviándonos un correo electrónico. Esta colaboración es clave para mantener la calidad y fiabilidad del proyecto.
Siguiendo la hipótesis de la privación de respuesta, ¿qué respuesta estaría privada?
La respuesta reforzada.
La respuesta reforzadora.
Ninguna, paradójicamente no habría privación de respuesta.
Cuando el exponente de sensibilidad (s) impacta más sobre la alternativa más favorable de un programa concurrente, se daría un caso de:
infraigualación.
igualación.
sobreigualación.
¿En cuál de los siguientes programas de reforzamiento se refuerzan tiempos entre respuestas relativamente largos?
RV
IV
RDA
En los programas concurrentes de razón, los componentes se presentan de forma:
simultánea.
secuencial.
aleatoria.
En el condicionamiento operante, ¿qué es el restablecimiento en el contexto de la extinción de una respuesta?
La reaparición de una respuesta extinguida tras la presentación de un estímulo aversivo.
La reaparición de una respuesta extinguida cuando el organismo vuelve a experimentar el reforzador después de un período sin acceso a él.
La disminución gradual de una respuesta debido a la ausencia del reforzador que la mantenía.
¿Qué programa de reforzamiento de los siguientes se basa en la necesidad de que transcurra un determinado tiempo mínimo desde la anterior respuesta para la obtención del reforzador?
IF
IV
RDB
El punto óptimo de distribución de conductas es un ideal que no se puede alcanzar porque estamos sometidos a contingencias de reforzamiento que limitan el acceso a dichas conductas. Según las teorías de regulación conductual nos deberíamos comportar:
de manera que nos acerquemos lo más posible a esa distribución ideal.
de forma independiente a ese ideal de conducta dado que es inalcanzable.
conforme a reglas caóticas.
El valor de un reforzador pequeño será mayor que el de uno grande cuando la división entre su magnitud y la demora para recibirlo dé un valor:
igual a cero (0).
más pequeño.
más grande.
Si en un programa concurrente IV 30 seg IV 60 seg se da el doble de respuestas en el primer componente que en el segundo y también se le dedica el doble de tiempo,__________será mayor en el componente de IV 30 seg.
tanto la tasa global como la tasa local de respuesta
sólo la tasa global de respuesta
sólo la tasa local de respuesta
En un programa encadenado, los componentes están señalados y se presentan de forma:
simultánea.
secuencial.
aleatoria.
La pausa post-reforzamiento será mayor a medida que se ______ el requisito de respuestas en los programas de RF y se ________la frecuencia de reforzamiento en los programas de IF.
aumente; aumente
disminuya; disminuya
aumente; disminuya
¿Qué programa de reforzamiento de los siguientes no tiene en su base el que tenga que transcurrir un tiempo determinado?
RV.
IF.
RDB.
Según la hipótesis de la privación de respuesta, ...
si se restringe una actividad poco probable, ésta podría funcionar como un reforzador eficaz.
restringir una actividad poco probable nunca podría hacerla funcionar como un reforzador eficaz.
una actividad de baja probabilidad, por definición, no se puede restringir.
En un programa de IF 30 seg con duración limitada de 5 seg,:
para que la respuesta sea reforzada se tiene que responder exactamente a los 30 segundos y durante 5 segundos se estaría administrando el reforzador.
se puede adelantar el reforzador 5 segundos antes de cumplirse los 30 segundos del IF si se responde en ese momento.
se puede reforzar la respuesta hasta 5 segundos después de haberse cumplido los 30 segundos del IF.
En un programa concurrente RV-IV, la estrategia de optimización consistiría en responder ________ en el componente de RV que en el de IV.
más
menos
parecido
Como resultado de las operaciones de reforzamiento se observa un aumento:
en la conducta reforzadora.
en la conducta reforzada.
tanto en la conducta reforzadora como en la reforzada.
¿En cuál de los siguientes programas de reforzamiento se generará una tasa constante y más alta de respuesta?
RF 10.
RV10.
RV 100.
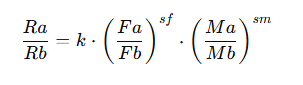
Si se toma la extensión de la ley generalizada de la igualación que se reproduce más abajo, la elección impulsiva se reflejaría por un valor de sf.
igual a cero (0).
igual a uno (1).
mayor que el de sm.
El control de la conducta en los programas de reforzamiento está en función del reforzador que va a venir, y esto es correcto:
para los programas de razón pero no para los de intervalo.
para los programas de intervalo pero no para los de razón.
tanto para los programas de razón como para los de intervalo.
¿En cuál de los siguientes programas de reforzamiento no se limita el número de respuestas necesarias por cada reforzador?:
RF
IF
RDB
¿Qué programa resulta en la menor tasa de respuesta (a igualdad de tasas de reforzamiento)?:
RV
IV
RDB
En los programas de razón, a medida que se aumenta la tasa de respuesta se aumenta la tasa de reforzamiento de forma:
progresivamente acelerativa.
lineal.
progresivamente desacelerativa.
La ley de igualación se cumple:
solo con programas concurrentes de razón.
solo con programas concurrentes de intervalo.
tanto con programas concurrentes de razón como de intervalo.
Cuando en un programa concurrente se responde proporcionalmente menos al programa con mayor frecuencia de reforzamiento que lo que se espera por la igualación, pero no cuando la frecuencia de reforzamiento sea igual en los dos programas, el resultado se denomina:
sesgo
infraigualación
sobreigualación
Los estudios de autocontrol indican que los valores de sensibilidad de la frecuencia y magnitud del reforzador:
son necesariamente iguales.
pueden ser distintos.
no influyen en la elección.
En las investigaciones con cadenas concurrentes de respuesta, la preferencia por la recompensa pequeña inmediata sobre una mas grande (y mejor) demorada, se considera un caso de:
impulsividad
autocontrol
equilibrio
Señale la alternativa incorrecta. El fenómeno del aprendizaje latente demostraría que:
se puede aprender sin reforzamiento.
el reforzamiento es esencial para el aprendizaje.
el aprendizaje no se manifiesta directamente en ejecución.
La eficacia como reforzador del hecho de restringir el nivel de ocurrencia de una actividad, es definitorio:
de la propuesta teórica de Premack, pero no de la teoría de privación de la respuesta.
de la teoría de privación de la respuesta, pero no de la propuesta teórica de Premack.
de la propuesta teórica de Premack y de la teoría de privación de la respuesta.
¿Cuál de los siguientes es un programa de reforzamiento intermitente?:
RF‐50, pero no RV‐50
RV‐50, pero no RF‐50
Tanto RF‐50 como RV‐50
El patrón de conducta caracterizado por una pausa post‐reforzamiento y una aceleración progresiva de la tasa de respuesta hasta la obtención del reforzador, se denomina:
parada y carrera
festoneado
tensión de respuesta
¿Qué programa resulta en la mayor tasa de respuesta (a igualdad de tasas de reforzamiento)?:
RV
IV
RDB
El mero reforzamiento diferencial del tiempo entre respuestas (TER) explica adecuadamente la diferente ejecución entre programas de:
razón fija y razón variable
intervalo fijo e intervalo variable
razón variable e intervalo variable
Maximizar consiste en:
elegir en exclusiva el programa más ventajoso
obtener el máximo de reforzadores distribuyendo las respuestas entre todas las alternativas de reforzamiento
dar el máximo de respuestas posibles para obtener el reforzamiento, aunque eso suponga un gasto extra de conducta
Cuando en un programa concurrente se responde proporcionalmente más al programa con mayor frecuencia de reforzamiento que lo que se espera por la igualación, pero no cuando la frecuencia de reforzamiento sea igual en los dos programas, el resultado se denomina:
sesgo
infraigualación
sobreigualación
En un programa concurrente simple con una alternativa ofreciendo una recompensa pequeña inmediata y la otra alternativa una recompensa grande demorada, los animales normalmente elegirán:
las dos recompensas por igual
más la recompensa pequeña inmediata
más la recompensa grande demorada
Según Herrnstein (1970), la tasa de respuesta total en un operando de respuesta depende de la tasa ______ de reforzamiento en esa alternativa:
total
relativa
local
¿Quién de los siguientes defendió que lo importante en el aprendizaje es la formación de asociaciones estímulo‐respuesta?:
Hull
Tolman
Skinner
Imaginemos la situación en que las ratas de un laboratorio prefieren correr en una rueda antes que dedicarse a beber de una botella. Según el principio de Premack, si tras correr les obligáramos a beber, la conducta de correr:
permanecería inalterada
aumentaría
disminuiría
A mayor requisito de respuesta en los programas de razón, la frecuencia de reforzamiento:
aumenta
disminuye
se queda igual
¿En cuál de los siguientes programas de reforzamiento sólo puede darse una respuesta para la obtención del reforzador?:
IF
RDB
IF y RDB
Cuando se compone un programa de reforzamiento con dos programas sucesivos simples señalados por claves discriminativas distintas y el reforzador disponible solo al finalizar el segundo de los programas, nos encontramos ante un programa:
múltiple
encadenado
conjuntivo
Se da una función de retroalimentación lineal y positiva entre la tasa de respuesta y la tasa de reforzamiento:
solo para los programas de razón
solo para los programas de intervalo
tanto para los programas de razón como de intervalo
En un programa concurrente, cuando al programa con mayor frecuencia de reforzamiento se le responde proporcionalmente más pero también se le dedica proporcionalmente más tiempo, el resultado es que la tasa local de respuesta será ______ que en el programa con menor frecuencia de reforzamiento:
mayor
menor
igual
En la ley generalizada de la igualación, los sesgos se representan por el valor de:
F
k
s
En las cadenas concurrentes de respuesta, la elección se produce en el eslabón:
inicial
de intermedio
terminal
El valor de un reforzador depende ______ de la magnitud del reforzador y/e _______ de la demora al mismo:
inversamente; inversamente
directamente; directamente
directamente; inversamente
Imaginemos la situación experimental en que las ratas prefieren correr en una rueda antes que dedicarse a beber una solución no muy agradable pero que es buena para su salud. Según el principio del reforzamiento de Premack, para aumentar la conducta de beber tendríamos que:
dejarles libremente correr y beber cuando quieran
dejar beber a los animales después que hayan corrido todo lo que quieran
obligarles a beber una cierta cantidad antes de dejarles correr un tiempo corto
La función que relaciona el número de respuestas con el número de reforzadores es ______ según la teoría de la privación de respuesta:
lineal
bitónica
inexistente
El reforzamiento diferencial de tiempos entre respuestas cortos se correspondería con la ejecución en programas:
sólo de RV.
sólo de RDA.
tanto de RV como de RDA.
Cuando resulta dificultoso cambiar de una alternativa a otra de respuesta en un programa concurrente de reforzamiento, es frecuente encontrar:
igualación.
sobreigualación.
infraigualación.
La preferencia por una recompensa pequeña inmediata (frente a una grande demorada) ___________si se introduce un tiempo de espera para la ejecución de la conducta:
se reduce
incrementa
no varía
La tasa de emisión de una conducta particular se puede aumentar:
únicamente aumentando su tasa de reforzamiento.
únicamente disminuyendo el reforzamiento de conductas alternativas competidoras.
aumentando su tasa de reforzamiento y/o disminuyendo el de conductas competidoras.
Un registro acumulativo como el representado en la figura (tiempo transcurrido en el eje de abscisas y respuestas emitidas en el eje de ordenadas), corresponde a un programa de:
RF.
IF.
IV.
¿Qué tienen en común la teoría de privación de respuesta y el principio de reforzamiento de Premack?:
La necesidad de que la conducta reforzadora esté limitada.
Que la conducta reforzadora sea más probable que la conducta reforzada.
La suposición de la formación de asociaciones E-R.
En un programa de RV-20, se obtiene el reforzador _____________________ 20 respuestas:
siempre después de emitir
la mitad de las veces que se emiten
por término medio después de cada
¿Cuál es la principal diferencia entre los programas de IF y los de RDB?:
En los primeros se adelanta el reforzador si se responde antes del tiempo especificado.
En los segundos se penaliza responder antes del tiempo especificado.
En los primeros se adelanta el reforzador por responder antes del tiempo especificado, mientras que en los segundos se retrasa.
En un programa concurrente encadenado, el reforzador primario sigue las respuestas emitidas:
solo en el eslabón inicial.
solo en el eslabón terminal.
tanto en el eslabón inicial como en el terminal.
¿Para cuál de los siguientes autores el reforzador no es necesario para el aprendizaje?:
Guthrie.
Hull.
Tolman.
Las tasas de respuesta y de reforzamiento se relacionan de forma lineal según la ley de igualación, y para la hipótesis de privación de respuesta:
también se deben relacionar de forma lineal.
se relacionan de forma lineal pero inversa.
su relación es en forma de U invertida.
En el trabajo original de Herrnstein (1961) sobre la ley de igualación se encontró el resultado que se representa en la figura de más abajo. La paloma 231 (círculos blancos) estaría:
infraigualando.
igualando.
sobreigualando.
En un programa de RV-20, se obtiene el reforzador _________ 20 respuestas:
después de emitir por término medio.
un 50% de las veces que se emiten.
un número aleatorio de veces que se emiten.
Se observan pausas post-reforzamiento en los programas de:
RF y RV.
IF e lV.
RF e lF.
En la ecuación de la ley generalizada de la igualación siguiente, ¿cómo haríamos para dar cuenta de la impulsividad?:
Haciendo que sf valga más que sm.
Haciendo que sf valga menos que sm.
Aumentando el valor de k.
La igualación temporal se caracteriza porque:
el tiempo total se reparte por igual entre las alternativas de respuesta.
se reparte el tiempo total entre las alternativas de respuesta de forma proporcional al reforzamiento que ofrecen.